Gas CS, l’arma anti-manifestanti e i suoi effetti tossici
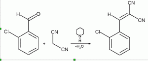
Il composto chimico gas CS (orto-cloro-benziliden-malononitrile), utilizzato contro i dimostranti in Val Susa ripetutamente nel 2011 e 2012, e a Genova nel 2001, viene sintetizzato facendo reagire due composti chimici: 2-clorobenzaldeide e malononitrile:
Vediamo le caratteristiche degli ingredienti. Il malononitrile ha una scheda preoccupante:
- Tossico per inalazione, contatto con la pelle e per ingestione.
- Altamente tossico per gli organismi acquatici
- Non respirare i gas/fumi/vapori/aerosoli
- Togliersi di dosso immediatamente gli indumenti contaminati.
- In caso di incidente o di malessere consultare immediatamente il medico
- Questo materiale e il suo contenitore devono essere smaltiti come rifiuti pericolosi.
- Non disperdere nell’ambiente.
- Classificazione di pericolosità: Corrosivo, provoca ustioni cutanee e gravi lesioni oculari.
La Clorobenzaldeide ha una scheda anch’essa inquietante:
- Non respirare la polvere/i fumi/i gas/ la nebbia/ i vapori/gli aerosol
- Togliersi di dosso immediatamente gli indumenti contaminati
- Contattare immediatamente un Centro Antiveleni e un medico
Allora, l’unione di queste due sostanze tossiche e pericolose, provocherebbe la nascita di una sostanza innocua? In realtà, il CS ha tutte le caratteristiche tipiche dei composti urticanti e tossici, pericolosi per uomo e ambiente.
In base alla legge 18 aprile 1975, n.110 i gas CS sono classificati come armi da guerra di terza categoria, ossia “armi chimiche”. Per quanto riguarda l’uso bellico, la Convenzione di Parigi, ratificata dall’Italia nel 1997, proibisce l’utilizzo del CS in ogni scenario bellico. “…e ovviamente in tempo di pace su dimostranti civili”, sarebbe la logica conseguenza. Purtroppo, questo “e ovviamente” non è scritto esplicitamente, e infatti il gas CS fa parte dell’equipaggiamento delle forze di polizia italiane dal 1991.
Gli effetti del gas sono i seguenti:
- Occhi. Effetto lacrimogeno e urticante
- Apparato respiratorio. Irritazione delle prime vie aree. Ma anche laringite, tracheite, irritazione bronchiale con tosse e catarro copioso. In casi severi la laringite può comportare laringospasmo1 e l’irritazione delle basse vie aeree può comportare ARDS2. Nella letteratura medica vengono inoltre riportati numerosi casi di soggetti pluriesposti che hanno manifestato disturbi come tosse prolungata e difficoltà respiratorie per molti mesi.
- Pelle. Il contatto provoca sensazione di bruciore e, in casi di esposizioni prolungate, si può giungere a vere e proprie ustioni.
-
Tratto Gastrointestinale. Nausea, vomito, inappetenza, diarrea, dolori addominali, epatopatia acuta.
Benché classificata come un’arma non letale per il controllo delle rivolte, sono stati dimostrati quindi effetti tossici3. Molti studi hanno poi associato l’esposizione al CS con aborti spontanei; la metabolizzazione del CS rende possibile riscontrare cianuro all’interno dei tessuti4.
Amnesty International ritiene necessaria una revisione indipendente dell’ impiego di agenti chimici da parte delle forze dell’ordine. Se l’esposizione a Genova 2001 è stata massiccia ma singola, l’esposizione prolungata in Valsusa potrebbe essere più pericolosa:
-
Per gli operatori di polizia i gas CS sono strumento di lavoro e quindi il contatto continuato potrebbe avere, nel lungo periodo, effetti oggi sconosciuti5
-
Per i manifestanti della Valsusa potrebbe esserci lo stesso scenario di esposizione ripetuta. Ricorre ora un anno dal primo uso, e le esposizioni sono state decine e decine, con migliaia di lacrimogeni.
L’esposizione prolungata e a dosi massicce, in sostanza, potrebbe trasformare sia i poliziotti che i manifestanti in un gruppo di alto-esposti al gas CS, cavie involontarie, potenzialmente rendendo palesi sull’uomo gli effetti anche a lungo termine. Credo che tutto ciò sia assolutamente da evitare.
1 Il laringospasmo è una condizione patologica delle vie aeree superiori, dovuta alla contrazione spasmodica dei muscoli della laringe, che blocca di fatto la possibilità di respirazione inducendo panico e paura da soffocamento.
2ARDS (sindrome da distress respiratorio) rappresenta un danno diffuso dei capillari alveolari determinante grave insufficienza respiratoria con ipossiemia arteriosa refrattaria alla somministrazione di ossigeno. E’ una condizione molto grave, una vera emergenza clinica che se non trattata può portare a morte il paziente.
3I. Solomon ed altri, Arch. Toxicol. 77 (2003) 601-604. E. Karaman ed altri, Eur. Arch. Otorhinolaringol. 266 (2009) 301-304.
4H. Howard ed altri, “Tear Gas: Harassing Agent or Toxic Chemical Weapon?” Journal of the American Medical Association 4 agosto 1989.
5 Nell’articolo Watson, K. and Rycroft, R. (2005), Unintended cutaneous reactions to CS spray. Contact Dermatitis, 53: 9–13 si illustrano I casi di 7 poliziotti inglesi con gravi reazioni cutanee in seguito ad esposizione a CS.
